|
Д\З по Алгебре
|
|
|
mayorandrew
| Дата: Среда, 08.12.2010, 21:35 | Сообщение # 16 |
|
Сайт наш поддержавший
|  |
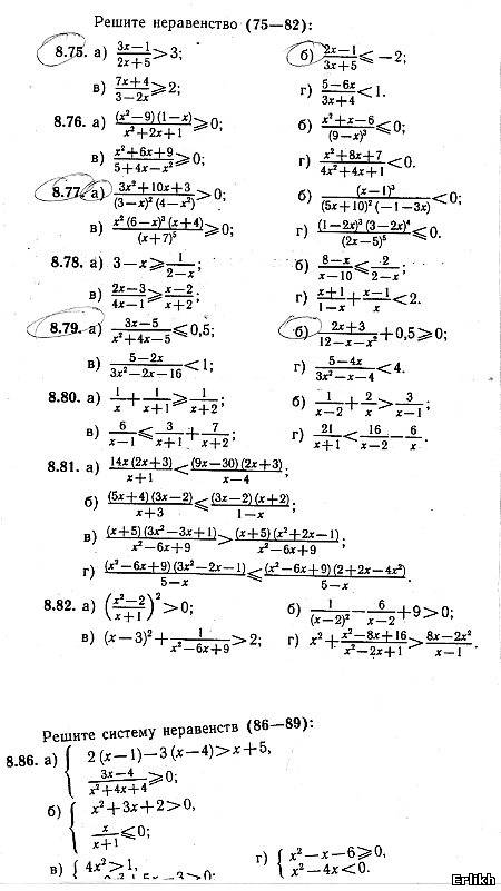
| Листочек с Д/з на 9.11.10
|
| |
| |
|
mayorandrew
| Дата: Воскресенье, 16.01.2011, 16:45 | Сообщение # 17 |
|
Сайт наш поддержавший
|  |
| Д\з на 17.01.11
|
| |
| |
|
mayorandrew
| Дата: Вторник, 08.02.2011, 23:15 | Сообщение # 18 |
|
Сайт наш поддержавший
|  |
| На пятую неделю
|
| |
| |
|
mayorandrew
| Дата: Пятница, 25.02.2011, 18:04 | Сообщение # 19 |
|
Сайт наш поддержавший
|  |
| На 26.02.11
|
| |
| |
|
|
erlikh
| Дата: Понедельник, 28.03.2011, 10:13 | Сообщение # 21 |
|
| В четверг (31 марта) состоится устная самостоятельная работа по теме "Предел в точке". Самостоятельная состоит из трех разделов: 1) Доказательство того, что число является пределом функции в точке по определению. Упражнение 1(1,2,3) 2) Доказательство того, что число не является пределом функции в точке по определению. Упражнение 3(1,3) 3) Подсчет предела.Упражнение 4(3,4,6), 5(7,9,10,11), 6(3,5,10,16,18) Упражнения из задачника Вавилова и др., Начала анализа. глава 4, параграф 1. В этом же параграфе в начале разобраны примеры решений интересующих нас задач. Нам нужны примеры 1,2,3,5,6,7,9,10.
|
| |
| |
|
mayorandrew
| Дата: Понедельник, 04.04.2011, 21:28 | Сообщение # 22 |
|
Сайт наш поддержавший
|  |
| Программа зачета Конспекты: http://fsstar.ru/webpages/comixView/index.php?cmx=math3&id=1&x=
|
| |
| |
|
anton
| Дата: Понедельник, 11.04.2011, 18:42 | Сообщение # 23 |
|
В Форум написавший
|  |
| На 12.04.11 Зад1.3.2 Зад1.6.1 Зад1.4 Зад2.6 Зад3.3
|
| |
| |
|
anton
| Дата: Вторник, 12.04.2011, 18:45 | Сообщение # 24 |
|
В Форум написавший
|  |
| На 14.04.11 Зад3.1(10) .2(1) .4 Упр11(4)
|
| |
| |
|
mayorandrew
| Дата: Четверг, 14.04.2011, 19:31 | Сообщение # 25 |
|
Сайт наш поддержавший
|  |
| На 18.04.11 Глава 2.$1.Задание.1.6(3,4) Глава 2.$1.Задание.2.7(11) Глава 2.$1.Задание.3.1(1-4,7,9) Глава 2.$1.Задание.4.1(2)
|
| |
| |
|
anton
| Дата: Среда, 20.04.2011, 17:21 | Сообщение # 26 |
|
В Форум написавший
|  |
| На 21.04.11 Сделать противоположный вариант из самостоятельной работы.
|
| |
| |
|
erlikh
| Дата: Воскресенье, 24.04.2011, 11:40 | Сообщение # 27 |
|
| Из задачника по матанализу: Глава 2, параграф 2, задание 2, задачи: 1(2), 2(2), 3, 4(1).
|
| |
| |
|
mayorandrew
| Дата: Среда, 04.05.2011, 21:43 | Сообщение # 28 |
|
Сайт наш поддержавший
|  |
| На 05.05.2011 Г2.$4.Упражнение.1.(4,6,8,9) Подготовиться к самостоятельной
|
| |
| |
|
mayorandrew
| Дата: Воскресенье, 04.09.2011, 11:56 | Сообщение # 29 |
|
Сайт наш поддержавший
|  |
| На 05.09.2011
|
| |
| |
|
mayorandrew
| Дата: Понедельник, 12.09.2011, 17:18 | Сообщение # 30 |
|
Сайт наш поддержавший
|  |
| На 25 неделю 4й четверти: http://erlikh.my1.ru/load/0-0-0-251-20
|
| |
| |